Name: 
 

Math 9 LG 6 Practice Test #4



Multiple Choice
Identify the choice that best completes the statement or answers the question.
 

 1. 

Multiply: mc001-1.jpg
a.
mc001-2.jpg
b.
mc001-3.jpg
c.
mc001-4.jpg
d.
mc001-5.jpg
 

 2. 

Multiply: mc002-1.jpg
a.
mc002-2.jpg
c.
mc002-4.jpg
b.
mc002-3.jpg
d.
mc002-5.jpg
 

 3. 

Determine the area of this rectangle.
mc003-1.jpg
a.
mc003-2.jpg
c.
mc003-4.jpg
b.
mc003-3.jpg
d.
mc003-5.jpg
 

 4. 

Multiply: mc004-1.jpg
a.
mc004-2.jpg
b.
mc004-3.jpg
c.
mc004-4.jpg
d.
mc004-5.jpg
 

 5. 

Divide: mc005-1.jpg
a.
mc005-2.jpg
b.
mc005-3.jpg
c.
mc005-4.jpg
d.
mc005-5.jpg
 

 6. 

Multiply: mc006-1.jpg
a.
mc006-2.jpg
b.
mc006-3.jpg
c.
mc006-4.jpg
d.
mc006-5.jpg
 

 7. 

Which set of algebra tiles represents the multiplication statement mc007-1.jpg?
a.
mc007-2.jpg
c.
mc007-4.jpg
b.
mc007-3.jpg
d.
mc007-5.jpg
 

 8. 

Which division statement is represented by the algebra tiles?

mc008-1.jpg
a.
mc008-2.jpg
c.
mc008-4.jpg
b.
mc008-3.jpg
d.
mc008-5.jpg
 

Short Answer
 

 9. 

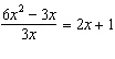
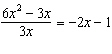
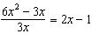
Divide: sa009-1.jpg
 

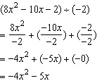
 10. 

Here is a student’s solution for this question:
sa010-1.jpg

Identify the errors in the solution.
 

 11. 

Multiply: sa011-1.jpg
 

 12. 

Determine the quotient: sa012-1.jpg
 

Problem
 

 13. 

a)      Write the multiplication sentence modelled by this rectangle.
b)      Determine the area of the rectangle when x = 12.
      Show your work.
      pr013-1.jpg
 

 14. 

Simplify: pr014-1.jpg.
 



 
Check Your Work     Start Over