Multiple Choice Identify the
choice that best completes the statement or answers the question.
|
|
|
1.
|
Which multiplication statement is represented by the algebra tiles
below?
|
|
|
2.
|
Which multiplication statement is represented by the algebra tiles
below?
|
|
|
3.
|
Divide: 
|
|
|
4.
|
Divide: 
|
|
|
5.
|
Multiply: 
|
|
|
6.
|
Divide: 
|
|
|
7.
|
Multiply: 
|
Short Answer
|
|
|
8.
|
Multiply: 
|
|
|
9.
|
Divide: 
|
|
|
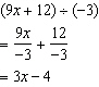
10.
|
Here is a student’s solution for this question: Divide:   Identify any errors in the solution.
|
|
|
11.
|
Determine the quotient: 
|
Problem
|
|
|
12.
|
Determine the product:  Show your work.
|
|
|
13.
|
a) Determine a
polynomial for the perimeter of the shape below. b) Determine a
polynomial for the area of the shape below. c) Determine the
perimeter and area when x = 5 cm.

|